Let’s dive right into some cosmology! The universe can be one of three different shapes, all of which we’re going to explore today. Be warned, you will see some hefty integrals and equations!
First things first, the metric.
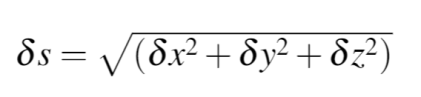
A metric is essentially an equation that describes each point in space. We can start off with a really simple metric using the most well-known coordinate system: The Cartesian coordinate system!

This is essentially Pythagoras’ theorem, but in 3D, and is trash for the purpose of describing the universe!
It needs to be adapted to account for expansion and acceleration without an external force (acceleration not due to F=ma).
A far far better metric uses spherical polar coordinates, another coordinate system astronomers particularly love to use to describe where they are on Earth.

θ and φ can be thought of as latitude and longitude if that helps! Because this metric works with angles, it includes a natural acceleration. This is because when we’re changing angles we’re changing direction, and acceleration is a vector.
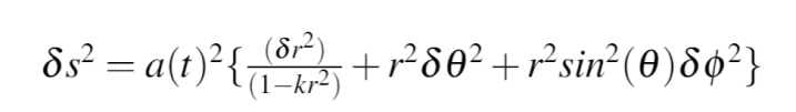
This metric is almost perfect, but it still needs expansion. The best metric known so far is the Friedmann-Lemaître-Robertson-Walker metric (shortened to FLRW), and includes everything we need plus a curvature constant k.

I know it looks awful, but it is exactly the same as the original spherical polar coordinate metric with an extra a(t) for expansion and a (1-kr²) curvature term. Don’t be scared by the curly brackets, they serve the same purpose as normal ones!
What does k mean?
Now let’s have a look at what happens when we vary k. As we’re working with spherical polar coordinates, we could manipulate this metric to find something that resembles a circumference or diameter. If k is the right value for a flat universe, we should expect the circumference divided by the diameter to be π. It won’t be for any other shape, right?
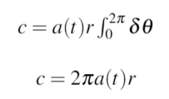
Let’s find a circumference

If we took a point in this metric and wanted to make a circle with it, all we would need to do is change theta. That means δr and δφ is zero. We can get rid of those!
Now to find the total distance covered by this circumference, we’ll need to integrate what’s left between 0 to 360º, but I’ll be working in radians so I’ll integrate this function from 0 to 2π.
You need not fear, as I have done this for you:

Let’s find a diameter

To find a diameter, all we’re changing is r, so we can say goodbye to θ and φ!
Using the same limits as the circumference integral, we can integrate this function from 0 to 2π. Those of you who have done advanced maths will know that this will integrate to a trigonometric function, but that is if k is positive.
When k is negative, we get a hyperbolic function, and both integrals will look like this in the end:

When k is 0, the whole k term disappears entirely and the integral becomes r.
Do not worry if you are confused by integration, all you need to know is what happens in the next part, when we divide the circumference by the diameter.
Finding π
We have an expression for the circumference, and three for the diameter, so by dividing circumference by a diameter, a value of pi can be found.
I’ve already done that for you, here are the two functions when k is either positive or negative:

When k is positive, the value of pi decreases until it reaches 2. This describes a spherical universe really well, as when we have a very small value of r, the circumference divided by the diameter is pretty close to pi, however at the equator the surface diameter of a sphere is exactly twice the circumference.

When k is zero, the value of pi is always pi. This describes a flat universe perfectly, as we’ve just found the circumference and diameter of a circle.

When k is negative, we find ourselves with a hyperbolic universe. This is a lesser known type of plane, so I’ll provide an image of one below. Hyperbolas come up in nature very frequently, coral being a good example. In this case as we increase r, our circumference divided by diameter gets larger and larger.


That’s all…for now!
Next week, we’ll have a deeper look into curvature, specifically what happens to expansion and density of the universe when it’s spherical/flat/hyperbolic.