The Ultimate Black Hole

After a whole YEAR of no black hole content and only covering the Schwarzschild black hole, we’ll finally be tackling the big beast: Kerr black holes & angular momentum!

As a recap: there are three measurable properties of a black holes and thus four “types” of black hole: Schwarzchild (mass only), Reissner- Nordstrƶm (mass + charge), Kerr (mass + rotation), and Kerr-Newman (Everything). All of these types have unique mathematical descriptions that are solutions to the Einstein Field Equations, and they all essentially describe how spacetime curves around a mass. Objects like stars aren’t all that dense so the bending of spacetime isn’t all that important, but when it comes to black holes the little changes in the maths make huge differences!

The Kerr black hole adds one very small addition to our Schwarzchild black hole: it rotates. And at first thought it doesn’t seem that rotation would make an impact on the physics. When we look at orbit problems regarding the Sun and Earth for example, the Sun’s own rotation is as important as the gravitational pull from Russell’s teapot, right?

Black holes don’t play that game though.

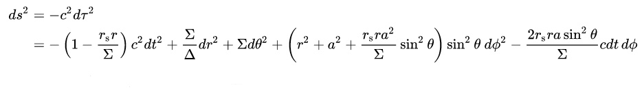
The Kerr metric is the mathematical description of how spacetime curves around a rotating black hole, and is written below to scare inform you. Don’t worry, we don’t need to touch this in any way, but one thing those who know the horrors will have already somewhat recognized, is that this is not for a spherical space but an elliptical one instead.

OooooOOOOoohhH ScArY!

This is the first interesting property of Kerr black holes. The giveaway is the second term, and it also includes this a2 term which includes angular momentum i.e rotation, meaning the black hole should become more elliptical with its spin. That makes physical sense and we see this occur in stars and the Earth too.

What’s also interesting is that the maths not only describes space in an elliptical manner, but that the curvature of spacetime is somewhat distorted with the rotation compared to a non-rotating black hole. That alone is extremely difficult to visualize. Almost everyone and their cat has seen an image like this of spacetime around a mass, right?

Gravity well of Earth. Credit: HubbleSite.

This is a good visualization of a non-rotating black hole’s gravity, however for the rotating black hole we need to include the black hole’s own angular momentum and distort space according to it. Our diagram should look a little bit like this instead:

With an image from P.C van der Wijk on the left and a drawing of mine on the right.

And from it, we set that rotation to be zero, that distortion goes away and you go back to the Schwarzchild diagram.

This leads to an effect called frame-dragging, where you’re essentially rotating as though you were the black hole if you get close enough. This area where you rotate like this is called the ergosphere, which becomes more oblate and squished with increasing black hole’s angular momentum.

What’s extra cool about the ergosphere is that particles can escape it because it’s not the event horizon, it’s just outside of it. In doing so, they can theoretically take away some of the black hole’s energy, reducing some of that rotational energy and slowing it down.

There are many more things about rotating black holes that I find amazing, Cauchy horizons, ring singularities, all of which I don’t really understand that well and don’t think I can write a post about. I highly recommend trying to learn about these yourself!

The next step on the black hole ladder is the Kerr-Newman black hole, which not only rotates but is electrically charged. In reality, black holes don’t have much charge since particles like to neutralize, which has an overall uncharged effect on the black hole. Another thing is that the maths, and physics of Kerr-Newman black hole is very incomplete. So while it is nice to have, the Kerr metric is already good enough!

3 comments

  1. Good summary, I have yet to find anything on web which describes what happens at the inner horizon which is a comprehensible to the non-expert. If you ever find anything please let me know (info@explainingscience.org )Personally I don’t think that closed timelike curves exist

    Liked by 1 person

  2. Okay, so lots of old Sci-Fi movies portrayed black holes as whirlpools in space. That’s obviously scientifically incorrect. But now I’m thinking that Kerr black holes are just a teeny bit whirlpool-like after all. Am I way off base with that thought?

    Liked by 1 person

Leave a comment