As an a-level student, I find that it’s handy to have small topic summaries of what I’ve studied for revision. This page has topics 2.7 and 2.8 of the Eduqas spec since they’re the spacey ones.
2.7 Radiation To Investigate Stars
The Spectrum
The spectrum of a star is made up of it’s emission and absorption.

Firstly, we have a continuous emission spectrum, which is usually the rainbow behind it. On top of the continuous spectrum are Fraunhofer lines or absorption lines, caused by cold gas in a star’s atmosphere absorbing light emitted by hotter gases below. Electrons in the gas absorb a photon of a specific wavelength and jump up an energy level. When they jump back down, they release a photon with the same wavelength. This comes up as an absorption line in the spectrum.
Each element absorbs specific wavelengths, and there can be often multiple lines for one element.
Black Bodies
All objects absorb and emit radiation, although they won’t absorb and emit all of it. White things tend to reflect more radiation than black objects.
Black bodies absorb all radiation that is incident on it, hence they’re good emitters as well. Stars are very close to being perfect black bodies, so we can assume that they are.
Let’s look at some typical spectra:

On the y-axis is the spectral intensity (you don’t need to worry about what this is) and on the x-axis lies the wavelength.
It’s important to know that temperature is what varies these curves. Look at the peak wavelength of the 3’500 K curve and the 5’500 K curve. It’s clear that the hotter temperature line has a lower peak wavelength.
This implies Temperature is inversely proportional to peak wavelength, and that’s exactly right. The constant of proportionality in this case is called Wien’s constant (2.9e-3), and the formula linking wavelength, temperature and Wien’s constant together is:
W = λ * T
Where:
W = Wien’s Constant (2.9e-3)
λ = peak wavelength (in metres)
T = temperature in Kelvin (temperature in ℃ + 273.15)
This formula is in your data booklet.
Let’s try a question!
Let’s say we were observing a star that had a surface temperature of about 4’500 K. Using the graph above, what colour would this star be?
Firstly, look at the 4’500 K curve. How many nanometres is the peak wavelength?
On this graph I’d say roughly 650 nm (in the exam they expect you to use a ruler). 650-700 nm is red light, so this star would look red.
Let’s twist things up
α boötis, better known as Arcturus, is a very bright star in the constellation Boötes. After collecting data from Arcturus, its peak wavelength was measured to be 677 nm. What is Arcturus’ surface temperature?
Now we don’t have a graph to refer to, but we have Wien’s law! We know the peak wavelength (677 nm) and we know Wien’s constant, so we’re good to go.
Turn the wavelength into metres by multiplying it by 10e-9.

Now put sub it into W = λ * T, and solve for temperature.

Congrats! You’ve found the surface temperature of Arcturus!
So Wien’s Law finds the peak wavelength …
But it’s important to remember that all wavelengths of light are emitted by stars, it’s just that most light will have be the peak wavelength.
This is why we don’t get green stars.
When the peak wavelength is green, we find there are roughly equal amounts of red light and blue light as well. These wavelengths balance out to make one overall colour, which is white.
The Sun and Vega are good examples. Our sun’s peak wavelength is green, but with a bit more red light than blue, so the overall colour is yellow. Vega, contrarily, is a blue-white colour because light peaks in green but there’s more blue than red light being emitted.
Alongside green, there are no pink/magenta stars either, but this is because magenta is just an imaginary colour our brains make up. You don’t need to worry about magenta stars, but you could be asked to explain why there are no green stars.
Let’s ponder Wien’s Law a bit more
Arcturus’ peak wavelength is 677 nm, which would be red. If this were any shorter it would appear yellow, and even shorter it would look blue, but what would the colour do to the temperature?
If W is a constant, then shortening the wavelength would increase the temperature. So by deduction, “blue” stars are hotter than the sun, and conversely “red” stars are cooler.

Above is a HR diagram, showing luminosity (power output) against temperature (at the top in this graph). Don’t worry about absolute magnitude and spectral class. Temperature goes from hot to cold in a HR diagram. The points/stars have been coloured so that cooler ones are red and hotter ones are blue.
Wien’s law seems to fit the large rainbow stripe; colder stars are red and less luminous, hot stars are blue and very luminous.
Yet, there seems to be some exceptions. In the top right there’s cool but very luminous stars. In the bottom left corner there’s less powerful hot stars. When in a star’s life would it be very hot, but not very luminous? Or when is a star cool but very luminous/big?
The stars in the big rainbow strip are part of the main sequence, and so follow normal fusion of hydrogen into helium. Here, there’s a clear correlation between high temperature and luminosity, but as the star becomes a red giant or a white dwarf, that correlation is no longer there.
In a red giant’s core, fusion of larger elements takes place, which actually increases the luminosity. However, the radius of the star increases a lot to stop it collapsing, that the intensity of heat reaching the surface has decreased.
After that, the star’s surface collapses into the core, and is ejected to make a planetary nebula, leaving a tiny white dwarf. All that’s left is a very hot core, but fusion has stopped, so it’s not generating any power/luminosity.
All this talk on luminosity brings us to our next topic, Stefan’s Law.
Stefan’s Law and Inverse Square Law
Stefan’s Law is very useful, as it basically puts the above explanations into a neat and handy formula.
Now we know how to find surface temperature by wavelengths, let’s try finding the luminosity of a star. For this we can use Stefan’s law:
P = A*σ*T^4
P = Luminosity/power (in Watts)
A = surface area of the star (in m^2)
σ = Stefan’s constant (5.67e-8)
T^4 = temperature (Kelvin) to the power of 4.
You’ll also find P = IA useful, where P = power (luminosity), A = area and I = intensity (examiners love to make you use this equation and is also in your data booklet).
Sometimes Power is written with an L instead, because it is also luminosity.
Let’s go over a question:
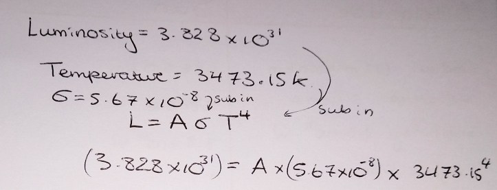
Betelgeuse is a star in the Orion Constellation. We’ve measured its luminosity as 3.828e+31 Watts, and the surface temperature as 3473.15K. Calculate the radius of Betelgeuse to 3 sf.
First, let’s put all the info we know into Stefan’s Law.

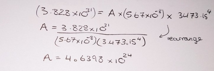
Arrange it to get A on its own.

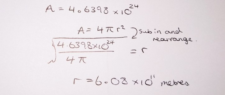
Now we can figure out the radius by dividing it by 4 π and then square rooting it.

That’s roughly 0.6 billion km, 890 x larger than the sun!
Multiwavelength Astronomy
It’s no good observing the universe with only visible light. The complete electromagnetic spectrum needs to be used.
Multiwavelength astronomy is observing with all types of light, from radio to gamma. It reveals a lot more about the universe, because different types of radiation can reveal different processes occurring.
In order of left to right. Radio image of the Crab Nebula (Credit: NRAO/AUI), Infrared image of the Crab Nebula (Credit: NASA/JPL-Caltech/R. Gehrz), Optical image of the Crab Nebula (Credit: NASA/ESA/ASU/J. Hester), Ultraviolet image of the Crab Nebula (Credit: NASA), X-ray image of the Crab Nebula (Credit: NASA/CXC/SAO/F. Seward et al.)
Have a look at the Crab Nebula. From the visible light, we can tell the red parts are remains of the star and the blue comes from electrons interacting with a magnetic field, but with only visible light, you couldn’t easily tell that the field belongs to a pulsar.
Look using radio waves, and the star becomes visible. From this image and the dimensions of the nebula, we can tell that the star is most likely a neutron star. The infrared shows electrons trapped in a magnetic field, meaning there’s something large in the middle that’s generating a strong magnetic field.
In the X-ray the pulsar is clear and its pulses can be seen. The nebula looks smaller than in the other images, suggesting that high energy electrons are mostly near the star, hence the star’s probably the object that’s heating them up.
That’s about it for 2.7 Radiation to investigate stars. Keep reading for 2.8.
2.8: Orbits and The Wider Universe
Planetary Motion
Kepler’s Three Laws
Kepler’s first law: Planets orbit in an ellipse shape. An ellipse can be made by two points called foci. The sun is located at one of the focus.

Kepler’s second law: Since planets orbit in an ellipse shape, they will be closer to the Sun at times than other times. When it is closer, the planet moves faster.
So if we were to mark a planet’s position every n days, the marks would be more spread out when the planet was near the sun, and bunched up when it was further away.

The second law states that the areas between two neighbouring points and the sun would be equal to the area between any other two points.
Kepler’s third law: For planets, the square of the period is proportional to the cube of the semi-major axis.
T² ∝ r³
T is the period, how long it takes to complete 1 full orbit. If we think about v = d/t, we can say that v = 2πr/T, rearrange it to get T = 2πr/v.
What is the semi major axis? It’s the average distance from the planet to the sun. In the picture below, I’ve used Pluto as an example, because Earth is too overused.

Newton’s Law of Gravitation
If you’ve studied centripetal acceleration you will recognise a = v²/r.
If not, then I will tell you right now that a = v²/r.
You also need to know Newton’s law of Gravitation:

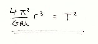
If we focus on circular orbits, not elliptical, we can use laws of centripetal acceleration to find an equation for Kepler’s third law.
Most planets orbit the sun fairly circular, so this equation may come in handy.
We can set Newton’s equation to equal F = ma and sub in a = v²/r.

We can divide by m and multiply by r.

Let’s move it around to get T², and then hopefully it should be in T² = kr³ form, where k is a constant.

Here T squared is proportional to r cubed, showing Kepler’s 3rd law does work for circular motion.
Let’s go through some examples
Io orbits Jupiter with eccentricity 0.0041, so it can be assumed it is circular.
Io lies 351’900 km above Jupiter’s surface and takes 152,850 seconds to complete one orbit. Calculate the radius of Jupiter.
(Mass of Jupiter = 1.8982e+27 kg)



Let’s try another question
Neptune is 4’500 million km from the sun. Its eccentricity is an incredibly small 0.0095, so it can be assumed that it is a perfect circle.
Mars lies 220 million km closer to the sun than Neptune, and takes 687 Earth days to complete one orbit. It also has a fairly circular orbit.
How long is a Neptunian year?
Now hold your horses! First of all we need to calculate Mars’ semi-major axis, which is 4’500 million km – 220 million km = 230 million km.
Now we can use the equations we’ve learnt.

We can rearrange them so the constants are on one side. Regardless of which planet we focus on, M will always be the mass of the sun (unless you’re working with exoplanets). Therefore, for Mars and Neptune, M is the same, so the whole right side of the equation is the same.
We can set T²/r³ of Mars to equal T²/r³ of Neptune.

Above, I’ve changed my period for Mars to be in seconds instead of days, and distances to metres instead of kilometres.
Then, I subbed in all my figures for Mars, then multiplied by Neptune’s r³ to get T² on its own.
From then on all you have to do is square root T.
T² = 2.6387 x 10^19
T = 5136857239 seconds
That’s no good, I don’t count years in seconds, I’d much prefer days or years. Firstly, divide it by 3600 to turn it into hours, 24 to turn it into days, then 365 to get a Neptunian year in Earth years.
T = 59454 days.
T = 163 Earth years.
Okay, one last question.
Mercury takes 88 days to orbit the sun. It’s aphelion (furthest distance from the sun) is 69,820,000 km but its perihelion (closest point) is only 46,000,000 km.
Using Kepler’s third law, calculate the mass of the sun.

Binary Systems
We’ve looked at situations where we have one big object and a little one, but what happens when both objects are equally massive?
In the case of a binary system (2 nearly equally massive objects), both are massive enough to affect each other, so they don’t orbit like a regular planet and star.
Take Pluto for example.

Pluto doesn’t affect the sun’s motion because it’s too small, but Charon (Pluto’s biggest moon) is big enough to affect Pluto’s motion.
In case you are a bit confused as to how a binary system works, have a look at some real-life data of Pluto and Charon:

Notice how if you isolate them, they both look like they’re going around in a circle, but when you look at them together, you notice they both kind of look like they’re orbiting each other.
Here’s a computer rendering of the system:

Both orbit around a centre of mass, but if Charon’s mass were to get smaller, the centre of mass would slowly move towards Pluto. The bigger the mass difference, the closer the centre of mass is to the larger object. This is because both objects exert equal and opposite forces on each other (otherwise the orbit wouldn’t be stable). They also have the same angular velocity.
From this knowledge, we can find the centre. Let’s call it C!

To find C, we need:
- r1 and r2, both object’s distance to C;
- M1 and M2, the mass of each object.
Because the distance to C depends on the difference in mass, we can say that:

We can also adapt Kepler’s third law for a binary system.

How orbital speeds in galaxies imply dark matter exists
Remember F = mv²/r and F = GMm/r² ?
These two equations will tell us enough about orbits for the case of dark matter.
How are we going to use these equations?
In the case of galaxies, m will be the mass of a single star, and M will be the mass of the entire galaxy within that star’s orbit.
To find the velocity one of these stars should be orbiting with, we can equate both equations to make a new one:
mv²/r = GMm/r²
v²/r = GM/r²
v² = GM/r
What can we learn from this new equation? Firstly, M is the mass of the galaxy, so a larger M means a larger velocity. r is the star’s distance from the centre of the galaxy, so when we increase r we decrease the velocity.
Below I’ve graphed the solar system (Mercury-Pluto). All I care about for now is v² (the planet’s velocity) and r (distance to the centre of the sun), so all I’ve done is plot v² against r.

If G and M are unchanging, then v² ∝ 1/r, which is what the graph shows.
But r is limited in the case of planets since they can’t orbit the sun within the sun. However, we still want to know what happens when the semi-major axis is near 0. This isn’t possible with the solar system, but let’s assume it can.
If a planet were orbiting inside the Sun, the only mass of the sun (M) we need to worry about is the mass contained within the planet’s orbit. So if r is decreasing, M is decreasing by a larger magnitude, resulting in the velocity decreasing.
If the planet is in the very centre, r = 0 and M = 0, so the velocity is 0 (don’t tell the pure mathematicians that I’ve divided by 0).
Our curve looks more like this:

Although this doesn’t exactly work for planets orbiting stars, it does work for stars in a galaxy.
From our curve, we can find expected values for the velocity if we sub in the mass and distance, but when astronomers actually observed galaxies through telescopes, they noticed something odd about the speed at which outer stars were moving around the galaxy: they were moving incredibly quickly!

Wait, how do we know they’re orbiting too fast?
Remember the curve we found before? If we were to observe some stars in a galaxy, each increasingly further away from the centre, we expect that their velocities will also follow the curve i.e stars really close are moving slowly, shortly followed by much faster stars and then a drop in velocity as we get to the furthermost stars.
This isn’t what we observe.
The stars’ velocities follow a the expected sharp increase as we move away from the centre, but beyond that their velocities still increase.
If we plot the velocities of the stars, this is what both the observed and expected curves look like:

It turns out these outer stars are zooming around the galaxy! How weird!
Just about all galaxies also seem to have incredibly speedy stars, which baffled astronomers for ages.
How can this be?
With such high speeds, these stars should be flying out the galaxy, but they’re not.
Now, the problem may just be that out understanding of gravity is inaccurate. For centuries we believed that the further an object is, the less gravitational force it experiences. This idea could be wrong or maybe we got the value for G wrong, which isn’t a stretch since we still don’t know much about the fundamental forces that govern physics, especially gravity.
Or, maybe our understanding of gravity is correct, and we’re just missing a piece of information.
Let’s cast our minds back. We noted that M will be the mass of the entire galaxy within the star’s orbit, and that the star’s velocity is governed by v² = GM/r.
G is a constant, so we don’t need to worry about it; it can’t change. v is what we’re measuring, so to try and find v we need to play around with M and r.
If we increase r, we’ll just be moving the star further away, which decreases v. That’s no good!
However, what if we increased M as we increased r? An increase in M will definitely increase v, so by deduction what’s probably happening is that the mass of the galaxy is increasing a lot as we get further out.
Isn’t that obvious? There are more stars as we get further away.
Yes, that is true. But look at where the bulk of most galaxies lie. In the centre, and don’t forget that many have black holes as the centre too (black holes are extremely massive!). Take the Milky way and Andromeda for example (pictures below). Most stars seem to be near the centre, so M won’t be increasing as much as we get further away.
So to obtain such high results for v the further out we go, the mass needs to be increasing much more dramatically and rapidly than what we’re observing. But that’s not what we’re seeing.
Perhaps there’s some missing galaxy mass that we can’t see!
An thus, the idea of dark matter was created!
Dark matter is something entirely different; it doesn’t behave like normal fermions because it doesn’t interact with the electromagnetic force. It does, however, interact with the gravitational force which is why velocities of stars are so massive.
We used to think it was made of MACHOs and WIMPs, short for Massive Astrophysical Compact Halo Objects and Weakly Interacting Massive Particles respectively. As you can tell, astronomers are fantastic at naming.
MACHOs are basically normal matter objects (planets, dust etc) that just isn’t lit up by starlight; no EM waves can get to it. Thankfully, MACHOs have been found and solved the case for dark matter … for about 2 of the few thousand cases.
Dark matter definitely isn’t made of MACHOs, but it could be made of WIMPs. These weakly interacting particles may be an exotic particle that simply doesn’t interact with EM waves. At first, scientists considered the neutrino to be a potential WIMP, but it doesn’t make up a large amount of the universe’s mass.
Another idea stems from the Higgs Boson, a very heavy and unstable force-carrier. In 2012, researchers at the Large Hadron Collider had discovered the Higgs boson by how it decayed.

One theory suggests that the Higgs boson may decay into dark matter WIMPs. Since WIMPs are massive, just like the Higgs boson, but evidence suggests there may be more than just the one type of Higgs boson.
Doppler Shift
The light from objects moving at high speeds will have distorted wavelengths. On a spectrum, this looks like the light has shifted more towards one side.
A picture best explains Doppler shift:

This happens with sounds too. A good example would be a fire engine’s siren suddenly dropping in pitch as it passes by.
But, let’s keep this to astronomy and stick with light. An object with a great redshift indicates that it is moving away very quickly, and this discovery has opened a huge gateway to cosmology.
Hippolyte Fizeau was the first to notice redshifts in stars’ spectrums, but it was Edwin Hubble who found that there was a relationship between the distance to them and their redshift. Hubble discovered that the most distant objects had the biggest redshifts, essentially they were moving away the fastest.
Redshift or blueshift is basically how relatively shifted the spectrum is. The equation to determine it is:

Let’s practise!
NGC 4151, better known as the Eye of Sauron, is roughly 62 million light years from Earth. Here is a photo of the beauty combining x-ray, optical, and radiowave data.

We’re going to look at the red areas – the radiowave and microwave data. In these parts there’s a lot of neutral hydrogen, which has a wavelength of 21cm in a lab on Earth.
The data taken shows neutral hydrogen to have an observed wavelength of 21.07 cm, a very slight shift.
From this, calculate the Doppler shift observed in the Eye of Sauron, and comment on the direction on movement.
Here’s the worked answer:

As you saw with the equation, there’s another way to find z: radial velocity and the speed of light.
This is useful, because we can calculate Doppler shift using the wavelength bit, and then use that to find how fast the object is moving. From that, we can then find the distance to all these objects.
Let’s practise!
Hoag’s Object is by far one of the weirdest galaxies known to humanity. It has a large nucleus surrounded by a circle of young stars which starts 38’000 light years away from the centre! In this picture, you can even see another ring galaxy through Hoag’s Object!

From measuring the shifts in wavelengths, astronomers discovered that Hoag’s object has a redshift of 0.0425. From this, calculate the radial velocity of the galaxy.
The answer:

Let’s take this one step further!
With the case of galaxies, we’re not really going to get many fluctuations in redshift. It’s either moving away from us or towards us. With nearby stars, specifically binary stars, we find that spectral shifts regularly change. This means the star is moving towards and away from us regularly and is in an orbit!
Astronomers can observe the Doppler shifts in the spectra of one element in the star, and can find the orbital velocity. You’ll be asked to do this in an exam, so below is a worked example of a hypothetical star system.

In an exam, you will be given two extreme shifts and would be asked to find the orbital velocity, so if you can remember the Doppler shift formula and v = ½(vmax – vmin), you’re all set!
This velocity is almost double Earth’s orbital velocity. If we wanted to find the general movement of the system away from us, we simply add the velocities instead of taking them away. In this example you’d get 98007 m/s and thus a redshift of 0.0003267.
And just to go one bit further…
If we plot radial velocity over time, we should get a gorgeous sine curve (which I’ll provide soon).
From that, we can figure out the period (T) of the orbit, and with a bit of fiddling with speed = distance/time, we can find the radius of the orbit!

Look at that! We used Kepler’s third law, Doppler shift, binary systems all in one gigantic question!

The mass of the planet is about 10x more than Jupiter’s mass, which is enormous! Not only that, but the orbit of the planet is smaller than Mercury’s. Astronomers would call this planet a hot Jupiter.
When a star’s orbital radius is very small, the star is probably orbiting around a point within it! In these cases, it is most likely that the companion is a planet. You will only get cases with a planet and star, so remember to approximate the planet’s mass to be negligible!
Now for Cosmology!
Hubble’s Law
So we’ve gone through Doppler shift, which we know can apply to both sound and light. The discovery of Doppler shift in light waves can be attributed to Edwin Hubble. He also discovered that most galaxies have a redshift, and the further they are from us, the higher the redshift.
We can deduce that the galaxies are moving away from us, and the furthest move the fastest, just by using z = v/c. As c is constant, a higher redshift equals a higher recessional velocity.
This shows that the universe is expanding, and the velocity of a galaxy is proportional directly to the distance to it. The equation we use to convey this direct proportion is Hubble’s Law:

Hubble’s constant is yet to be found. We have successfully narrowed the values to between 50-200 km/s/Mpc, which is awfully broad, so most astronomers will take roughly 70 km/s/Mpc. In SI units (and in your formula booklet), Hubble’s constant is 2.2 x 10^-18 /s.
Estimate the age of the universe with Hubble’s constant.
The age of the universe can be calculated using multiple methods. Here is a very simple one that you are expected to know:

Nice and easy! If you were to estimate the age using density evolution, you would get t ~ 2H/3, and scale factor evolution would get you to H/2 as an estimation. Those two are less accurate depending on your value for H, and you certainly don’t need to know them!
Critical Density
Okay, we’ve covered some parts of cosmology, like galaxies and expansion, so I think it be best that we wrap it up into one nice and neat equation.
So, we know that the universe has some matter and has some volume, so we can find out the density of matter just by ρ = m/v. We also know the universe is expanding ( v = Hd as we previously saw), so the density will decrease over time.
Or will it? Hmmm. Let’s find out!
We could think of v (= Hd) as the cosmological escape velocity. And a velocity with a mass implies there’s kinetic energy, and mass also implies there’s gravitational potential energy. If we equate the two, we could find an equation for velocity, and then use Hubble’s Law to make the equation for expansion and see if we can add density into the picture.

You’ll need to remember how to derive this. It’s just equating kinetic and gravitational potential energy, and then subbing in Hubble’s constant and density.
We’ve just made an equation that shows the critical density as a function of expansion. Nice! What the heck do we do with it?
The equation shows that as density increases over time, the Hubble constant will also increase. This function for density is what we’d expect if the universe were perfectly geometrically flat, and we call this density the critical density.
You heard it. The Earth isn’t flat but the universe could be!
That’s all you need to know for a-level, however if you want more…
The truth is, this equation is a very simplified version of the Friedman equation, which adds in a second constant, k, to describe curvature. The reason ours is simplified for a flat universe is because we equated the two energies so that their sum is zero (first line of derivation). In other shaped universes, that’s not quite the case.

Above is the less simple Friedman equation. In a perfectly flat universe, k = 0 which is why the simplified one doesn’t have the curvature term. The derivation is not so easy, so I will not go into it.
When k > 0, we have a spherical universe. If we rearrange the equation for just expansion, what we find is that there’s some initial expansion, and then the universe contracts back. We call this the Big Crunch or Gnab Gib (which is big bang backwards). This kind of universe is denser than a flat universe and has a lot of matter in it, so the gravitational pull of the matter eventually overrides expansion.
When k < 0, we have a hyperbolic universe. In this kind of universe there is very little matter and is less dense than a flat universe, so there’s not much of a gravitational force to counteract expansion. While in the spherical universe contraction occurs and in a flat universe expansion halts, in a hyperbolic universe expansion lasts infinitely.

Remember: you don’t need to know this!
That’s about it for 2.8 Orbits and The Wider Universe. Topic 2.7 can be found here if you need it.
Here’s a fairly good question bank if you would like to do some exam prep.




